BREAKING: Johnson & Johnson Lead Scientist Confesses J&J COVID-19 "Vaccine" Was ‘Not Safe and Effective,’ Reveals “Lack of Research”
From Rushing to Release "Vaccine:" “People Wanted It, We Gave It to Them”
The Johnson & Johnson slow kill bioweapon “vaccine” was a single dose poison which, unlike the Pfizer and Moderna offerings, did not require freezer storage. The J&J “vaccine” was manufactured from lab-grown cells that were clones of fetal tissue from circa 1980 abortions, and while perhaps not as deadly as the other injections, it was still almost as dangerous and as completely ineffective against PSYOP-19.
All three of these scamdemic “vaccines” were rushed to market, and were fraudulently granted Emergency Use Authorization (EUA) by the criminally captured FDA.
As a side note, the new FDA commissioner who was sold to us as MAHA, but by his actions is anything but, has recently responded to critics, ‘Be Patient With Us’ on COVID-19 Vaccines, as he refuses to pull them from market despite the irrefutable death and destruction that they are still causing; in fact, Dr. Marty Makary had the nerve to state, ‘I would ask people to be patient with us as we do this the proper scientific way.’
The proper scientific way, as in “$afe and Effective,” and “Trust the $cience.”
But we digress, because James O’Keefe has just come out with yet another bombshell exposé on the criminal enterprise known as Johnson & Johnson…
“We didn’t do the typical tests,” said Joshua Rys, a Lead Scientist in Regulatory Affairs for Johnson & Johnson (J&J), revealed on hidden camera that the typical clinical process was abandoned for the COVID-19 vaccine, knowingly bypassing standard testing protocols under pressure from the U.S. government and public demand. He added, “This was just, ‘let’s test it on some lab models… and just throw it to the wind and see what happens.’”
He acknowledged that the public wasn’t informed about the shortcuts, asking, “Do you have any idea the lack of research that was done on those products?” Rys claimed, “People wanted it, we gave it to them.”
While public officials claimed the vaccines were “safe and effective,” Rys pushed back. “There’s no proof. None of that stuff was safe and effective,” he said, adding that the industry relies on a benefit-risk tradeoff to justify product launches.
Rys also pointed to government pressure through Operation Warp Speed. “The government is like, ‘We need help… You’re solving this problem,’” he said. “People panic, so they try to solve it in whatever way they think is good.”
According to a U.S. Department of Health and Human Services (HHS) spokesperson, “Even during a public health emergency, pharmaceutical companies are still required to follow strict protocols for clinical testing. For emergency use, companies must show that the benefits clearly outweigh the risks. Oversight doesn’t stop at approval — the FDA and other agencies also monitor products closely once they’re in use. That includes real-world safety tracking, independent advisory committees, and required reporting of any adverse events. These steps are in place to make sure public health decisions are based on solid science and strong safeguards — especially in emergencies.
Dr. Marty Makary and Dr. Vinay Prasad recently announced a new vaccine safety and transparency framework — one that’s built on gold-standard science, real-world data, and honest communication with the public and will require thorough safety testing before licensing. Their work is focused on strengthening trust, improving how we monitor safety after vaccines are in use, and making sure people have clear, accurate information to make informed decisions.
HHS remains committed to full transparency and evidence-based oversight — putting the safety of the American people first.”
OMG has reached out to Joshua Rys and Johnson & Johnson for comment regarding Rys’ statements.
Stay tuned for part two.
Except that there was in fact plenty of preexisting research on these deadly products, which is precisely why the NWO globopedo cabal deployed these “vaccines” as part of their Great Depopulation agenda; to wit:
"The greatest fear among vaccinologists is the creation of a vaccine that is not only ineffective, but which exacerbates disease. Unfortunately, CoV vaccines have a history of enhancing disease..."
This article was originally published by this Substack on December 6th, 2021, and is now revised.
Which brings us to a badly needed Johnson & Johnson history lesson, because while J&J tried to jump on the scamdemic BigPharma free-for-all bandwagon with their deadly EUA “vaccine” off the backs of the “income” tax slaves that were paying for their very own “free” injection demises, their C-suite was not too crestfallen when their PSYOP-19 product was pulled from market given that their underlying business model of turning Americans into opioid drug addict zombies while selling them carcinogenic talc powder and other highly toxic products was still very much intact, with billions in wrist-slap fines over the years for their crimes against humanity representing less than a rounding error relative to their astronomical profits:
Thread: The Crimes of Johnson & Johnson
Most of the ire toward pharmaceutical companies has been directed at Pfizer and Moderna as of late so I thought it would be instructive to highlight another Pharma ghoul. You probably have one of their products in your cabinet right now.
The oh so wonderful pharmaceutical company Johnson & Johnson. Makers of Tylenol, Zyrtec, Imodium, and many other products. What most don’t realize is that J&J have a long sordid history of corruption, injury and death. You wouldn’t know that by watching one of their ads though.
Killing your customers is not a very good for business but nonetheless, like most Pharmaceutical companies, they get to pay a fine that is a fraction of their profits and continue business as usual.
Did you know that J&J at one point was supplying a whopping 80% of the global market with the raw materials to make oxycodone? In 1994 they genetically engineered the poopy plant, the source of heroin/opium to create “Super poppy”.
These plants were resistant to bugs and increased the yields of the alkaloid Thebaine, which is similar to morphine. All this is done in the country of Tasmania, a small island off the coast of Australia.
https://psmag.com/ideas/opioids-limiting-the-legal-supply-wont-stop-the-overdose-crisis
So given that J&J was the biggest suppliers of the materials to create the pills that have killed an estimated 263,000 people since 1999.
J&J met with with the now infamous Purdue Pharmaceuticals to ensure them they would be able to meet the anticipated need for opioids.
In Oklahoma alone between 2000 and 2011 J&J targeted doctors nearly 150,000 times and marketed their own opioids like fentanyl, tapentodol and tramadol to convince them to prescribe them as broadly as possible.
The true societal cost of J&J’s criminal role in the opioid epidemic will probably never be known. Families shattered by the loss of loved ones, babies being born addicted to opioids and disability of thousands unable to live productive live, treatment costs, & the list goes on.
In 2022 they agreed to pay just $5 Billion over nine years of a negotiated $26 Billion settlement with them, McKesson, Cardinal Health and AmerisourceBergen for their roles in the epidemic. To give you an idea of what an absolute slap in the face of the American people this.
J&J gross profit since 2020 is $182 Billion.
Lest we forget, while they were being tried for this fraud, the United States Government allowed them to manufacture a coronavirus vaccine to be widely distributed and also now known to cause all kinds of adverse effects, including blood clots.
https://hhs.gov/sites/default/files/janssen-corp-covid-19-vaccine-contract.pdf
Their involvement in the opioid crisis is just the tip of the corrupt iceberg of evil. Just this month the 3rd U.S. Circuit Court of Appeals dismissed a bankruptcy filing by J&J that paves the way for even more lawsuits on top of the 38,000 it still faces.
For knowingly selling Talc products i.e. baby powder that caused cancer. They have already settled for $100 million back in 2021. It is estimated that they have. $5.5 Billion in potential liabilities from this.
https://www.forbes.com/sites/korihale/2023/02/07/appeals-court-clears-the-way-for-38000-johnson--johnson-baby-powder-lawsuits/?sh=64513ac6d7fc
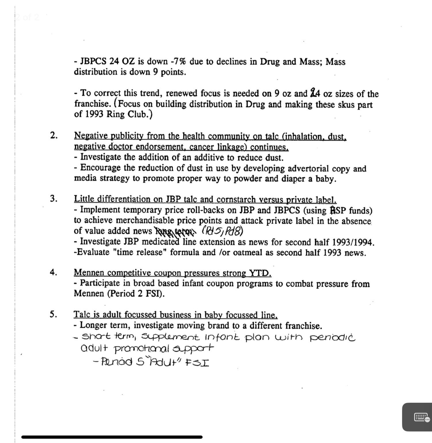
Could you imagine working for a company the knew their product, to be used on new born babies nonetheless, causes cancer? They knew this as far back as 1992. We now know this because an internal memo has been released dated 8/5/92 that touts “Major Opportunities” for Baby Powder
I’ve attached the memo in full so you can read the depravity for yourself but here is screen shot of bullet point 2, where they worry about negative publicity from the health community over potential cancer concerns.
The memo:
Ok you may say to yourself, well that’s not an explicit admission, only a concern so there is a degree of plausible deniability. At lease that is what a lawyer would argue. However this next document is the smoking gun.
A 1997 letter from an outside investigatory consultant J&J hired to evaluate their talc/cancer research. The consultant eviscerates their research and shows that they tried to downplay the risk of ovarian cancer.
I encourage you to read it in full to get a sense of corruption and disdain for human life J&J exhibits. This statement by the investigator is especially unsettling.
“Several investigators have independently reported talc particles in ovarian tissue. Simply citing the Battelle study and stating that it “demonstrated that talc does not translate through the cervix to the uterine cavity and beyond” does not address the problem,..
…does not refute these findings and therefore does not serve CTFA’s best interest. All in all, in my opinion an inept response.”
This was in 1997 and J&J ignored these concerns and for 25 more years continued to ship cancer causing talc worldwide, enjoying astronomical profits.
https://www.cancer.org/cancer/risk-prevention/chemicals/talcum-powder-and-cancer.html
Oh but that’s not all. J&J seems to have a thing with injuring woman irreparably. Just last year they reached a $300 million settlement in two class action lawsuits due to painful side effects of their vaginal mesh devices.
According to lawyers involved in the case they failed to properly test the devices. “Women have suffered complications including mesh exposure and erosion – when the mesh pokes through the vaginal wall or cuts through internal tissue – vaginal scarring, fistula formation,..
…painful sex, and pelvic, back and leg pains. Some of these complications may occur years after surgery and can be difficult to treat.”
https://www.theguardian.com/business/2022/sep/12/johnson-johnson-reaches-300m-settlement-over-pelvic-mesh-implants
In 2013 J&J agreed to pay a $2.5 Billion settlement related to individuals injured by their artificial hip implants. The implants caused severe pain, swelling, joint dislocations, heart and thyroid damage as well as central nervous system problems.
https://www.reuters.com/article/us-jj-hips-settlement-idUSBRE9AI1A820131120/
Just to further my point that J&J is truly an immoral corporation with straight up disregard for human life and suffering caused by their products. Let’s have a look at one more scandal.
For decades J&J sold their No More Tears baby shampoos with a preservative called Quaternium-15. At first glance most would think nothing of this ingredient but upon further investigation you’d learn that it actually released Formaldehyde, which is consider a carcinogen.
They have since removed Quaternium-15 after pressure from consumer advocates and environmental groups. It should also be noted that Formaldehyde is also an ingredient used in some vaccines.
This is a small sampling of the depths of depravity Johnson and Johnson will go to turn a profit. They have a veritable army of lawyers who are tasks with defending the indefensible 365 days a year.
Despite the death and destruction they have left in their wake, they are given paltry fines compared to their profits and allowed to carry on business as usual. This is just as much as an indictment on our federal regulatory agencies as it is on Johnson and Johnson.
Mass arrests now.
Do NOT comply.



















1. Cannot hate the government and the pharmaceutical mafia enough
2. Every man for himself
3. Survival of the fittest
4. Avoid the criminals as much as possible
5. Educate where there are open minds
6. We are just passing thru the valley of the shadow of death
7. Fear not.
8. Put not your trust in man
9. God is ALWAYS right
10. Stay on the path of righteousness
Have a good day 😊
J & J like most of the major pharmaceutical companies started out with the goal of improving the health of the American citizens and were family owned companies and most were physician owned. They were altruistic , took care of their workers and had positive goals. They have all evolved and are now cold hearted bottom line orientated corporations that have the goal of maintaining and growing their profitability at all costs. Hiding the health risks of the drugs and injections they push is paramount to keeping their companies growing. Cost/benefit ratio is factored in. Merck knew that Vioxx was harmful, and kept it on the market as long as they could so they would have the dollars to pay those who sued for the deaths of their loved ones. Same story is true of Oxycontin. They did a number on the Drug Distributors and Drug Chains so they have to pay out $30 Billion and Purdue is less than $8 billion. In the process they created new case law that will greatly harm the drug distributors and the drug chains going forward. J & J is no different. Soon to be released is my book revealing the true story behind the Tylenol murders in Chicago in 1982. It is called "Seven Innocents and The Trail of Death." McNeil sold a drug that in some cases acted as deadly as cyanide. It details some of what you have expressed about the under belly of J & J.